Global S&T Development Trend Analysis Platform of Resources and Environment
| 美研究揭示实验升温驱动草地植物物种丧失 | |
| 董利苹 杜海霞 | |
| 2025-10-31 | |
| 所属快报 | 资源环境快报 |
| 出版年 | 2025 |
| 期 | 20 |
| 语种 | 中文 |
| 领域 | 资源环境 |
| 栏目 | 前沿研究动态 |
| 中文关键词 | 实验升温 ; 草地植物 ; 物种丧失 |
| 英文关键词 | Experimental Warming Grassland Plant Loss |
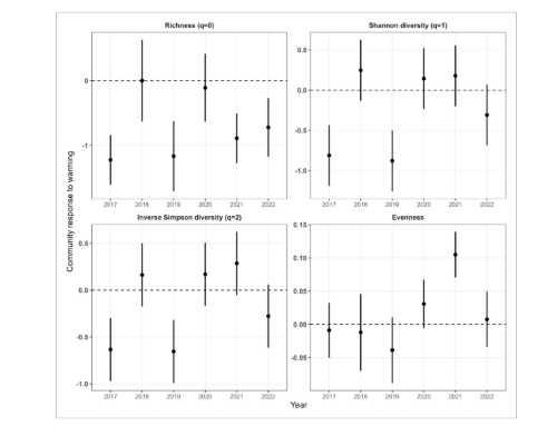
| 中文摘要 | 2025年10月10日,《生态学杂志》(Journal of Ecology)发表题为《实验升温导致局部草地植物物种丧失》(Experimental Warming Drives Local Grassland Plant Species Loss)的文章显示,实验升温显著驱动局部草地植物物种丧失,而干旱对其的影响相对较小。 |
| 原文题名 | Experimental Warming Drives Local Grassland Plant Species Loss |
| 原文链接 | 查看原文 |
| 文献类型 | 快报文章 |
| 条目标识符 | http://119.78.100.173/C666/handle/2XK7JSWQ/356077 |
| 专题 | 资源环境科学 |
| 推荐引用方式 GB/T 7714 | 董利苹 杜海霞. 美研究揭示实验升温驱动草地植物物种丧失. 2025. |
| 条目包含的文件 | ||||||
| 文件名称/大小 | 文献类型 | 版本类型 | 开放类型 | 使用许可 | ||
| 美研究揭示实验升温驱动草地植物物种丧失.(27KB) | 快报文章 | 开放获取 | CC BY-NC-SA | 浏览 请求全文 | ||
| 美研究揭示实验升温驱动草地植物物种丧失.(29KB) | 快报文章 | 开放获取 | CC BY-NC-SA | 浏览 请求全文 | ||
| 个性服务 |
| 推荐该条目 |
| 保存到收藏夹 |
| 查看访问统计 |
| 导出为Endnote文件 |
| 谷歌学术 |
| 谷歌学术中相似的文章 |
| [董利苹 杜海霞]的文章 |
| 百度学术 |
| 百度学术中相似的文章 |
| [董利苹 杜海霞]的文章 |
| 必应学术 |
| 必应学术中相似的文章 |
| [董利苹 杜海霞]的文章 |
| 相关权益政策 |
| 暂无数据 |
| 收藏/分享 |
除非特别说明,本系统中所有内容都受版权保护,并保留所有权利。
修改评论